Học đường

Bài toán '2 x 3 : 3 =?': Học sinh đưa ra đáp án bằng 2 nhưng cách giải của cô giáo mới được chấp nhận

Ngọc Dương

Bài Toán có kết quả bằng 2 nhưng cách giải mới là phần quyết định được chấm điểm hay không, bởi Toán học không chỉ cần kết quả đúng mà còn cần tính logic.

Bài toán '2 x 3 : 3 =?': Học sinh đưa ra đáp án bằng 2 nhưng cách giải của cô giáo mới được chấp nhận Ảnh 2

Toán học là bộ môn với những con số, kết quả chắc hẳn chỉ có đúng hoặc sai. Tuy nhiên, thực tế trong nhiều trường hợp, dù cho ra kết quả đúng nhưng nếu áp dụng sai các quy tắc, định luật, định lý... thì kết quả đó không được chấp nhận. Bởi môn học này còn đòi hỏi cả khả năng tư duy logic của người học.

Mới đây, một phụ huynh đã đăng tải ảnh chụp bài tập Toán của con mình và được dân mạng tranh luận sôi nổi. Với bài Toán đơn giản, kết quả đưa ra của học sinh và giáo viên đều bằng 2. Thế nhưng, bài làm của học sinh lại không được công nhận và khi nghe lời giải thích của giáo viên thì đúng là "không cãi đi đâu được".

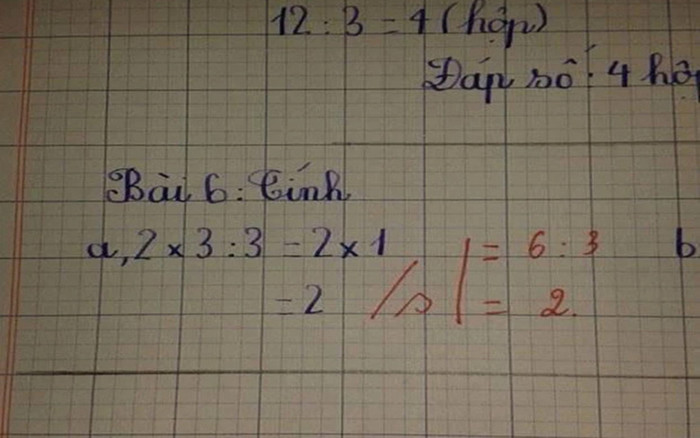
Cụ thể, bài toán với phép tính: 2x3:3=?. Lúc này, học sinh có cách giải như sau: 2x3:3=2x1= 2.

Chắc hẳn nhiều người cho rằng đáp án rõ ràng "chuẩn không cần chỉnh", nhưng giáo viên vẫn thẳng tay gạch sai. Lời giải được giáo viên đưa ra lại là: 2x3:3=6:3=2.

Bài toán bị gạch sai dù kết quả của học sinh và cô giáo đều giống nhau
Bài toán bị gạch sai dù kết quả của học sinh và cô giáo đều giống nhau

Theo lời giải thích của cô giáo, tuy học sinh làm ra kết quả đúng nhưng cách làm lại hoàn toàn sai bản chất của Toán học. Cụ thể, trong một phép tính chỉ có phép tính nhân và chia thì phải thực hiện từ trái qua phải, còn học sinh này lại thực hiện phép chia trước (theo thứ tự từ phải qua trái).

Thêm nữa, cô giáo cũng đưa ra 3 quy tắc cần nắm được khi thực hiện các phép tính cộng, trừ, nhân, chia như sau:

- Đầu tiên, thực hiện phép Toán bên trong dấu ngoặc đơn (nếu có).

- Tiếp theo, thực hiện tất cả các phép nhân và phép chia theo thứ tự từ trái qua phải.

- Cuối cùng, thực hiện tất cả các phép cộng và trừ theo thứ tự từ trái qua phải.

Sau khi nhận về lời giải thích, phụ huynh mới hiểu ra rằng con mình đã mắc lỗi sai cơ bản nên việc không được tính điểm là đúng. 

Bởi vậy mới nói, Toán là môn học rất thú vị bởi môn học này không chỉ quan tâm đến kết quả mà còn rèn luyện tính tư duy cho người học.

Chia sẻ FacebookChia sẻ

Bài viết

Ngọc Dương

ĐƯỢC QUAN TÂM

TIN MỚI